Номер 3, страница 245 - гдз по химии 11 класс учебник Габриелян, Остроумов

Химия, 11 класс Учебник, авторы: Габриелян Олег Саргисович, Остроумов Игорь Геннадьевич, Сладков Сергей Анатольевич, Левкин Антон Николаевич, издательство Просвещение, Москва, 2021, белого цвета

Авторы: Габриелян О. С., Остроумов И. Г., Сладков С. А., Левкин А. Н.

Тип: Учебник

Издательство: Просвещение

Год издания: 2021 - 2026

Уровень обучения: углублённый

Цвет обложки: белый, красный с молекулами с колбами

ISBN: 978-5-09-081245-0 (2021)

Допущено Министерством просвещения Российской Федерации

Глава 7. Неметаллы. Параграф 34. Водород - номер 3, страница 245.

№3 (с. 245)
Условие. №3 (с. 245)
Химия, 11 класс Учебник, авторы: Габриелян Олег Саргисович, Остроумов Игорь Геннадьевич, Сладков Сергей Анатольевич, Левкин Антон Николаевич, издательство Просвещение, Москва, 2021, белого цвета, страница 245, номер 3, Условие
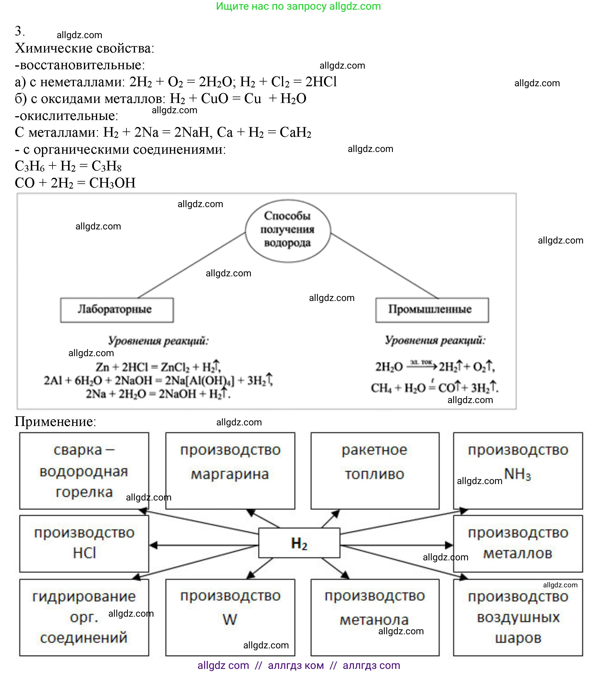
Решение. №3 (с. 245)
Химия, 11 класс Учебник, авторы: Габриелян Олег Саргисович, Остроумов Игорь Геннадьевич, Сладков Сергей Анатольевич, Левкин Антон Николаевич, издательство Просвещение, Москва, 2021, белого цвета, страница 245, номер 3, Решение

Присоединяйтесь к Телеграм-группе @/gdz_by_belarus

Присоединиться

Мы подготовили для вас ответ c подробным объяснением домашего задания по химии за 11 класс, для упражнения номер 3 расположенного на странице 245 к учебнику 2021 года издания для учащихся школ и гимназий.

Теперь на нашем сайте ГДЗ.ТОП вы всегда легко и бесплатно найдёте условие с правильным ответом на вопрос «Как решить ДЗ» и «Как сделать» задание по химии к упражнению №3 (с. 245), авторов: Габриелян (Олег Саргисович), Остроумов (Игорь Геннадьевич), Сладков (Сергей Анатольевич), Левкин (Антон Николаевич), углублённый уровень обучения учебного пособия издательства Просвещение.