Номер 578, страница 135 - гдз по алгебре 8 класс учебник Макарычев, Миндюк

Алгебра, 8 класс Учебник, авторы: Макарычев Юрий Николаевич, Миндюк Нора Григорьевна, Нешков Константин Иванович, Суворова Светлана Борисовна, издательство Просвещение, Москва, 2023, белого цвета

Авторы: Макарычев Ю. Н., Миндюк Н. Г., Нешков К. И., Суворова С. Б.

Тип: Учебник

Издательство: Просвещение

Год издания: 2023 - 2026

Уровень обучения: базовый

Цвет обложки: белый, голубой, фиолетовый

ISBN: 978-5-09-102536-1, 978-5-09-111166-8

Допущено Министерством просвещения Российской Федерации

Глава 3. Уравнения и системы уравнений. Параграф 7. Квадратное уравнение и его корни. 23. Теорема Виета - номер 578, страница 135.

№578 (с. 135)
Условие. №578 (с. 135)
Алгебра, 8 класс Учебник, авторы: Макарычев Юрий Николаевич, Миндюк Нора Григорьевна, Нешков Константин Иванович, Суворова Светлана Борисовна, издательство Просвещение, Москва, 2023, белого цвета, страница 135, номер 578, Условие
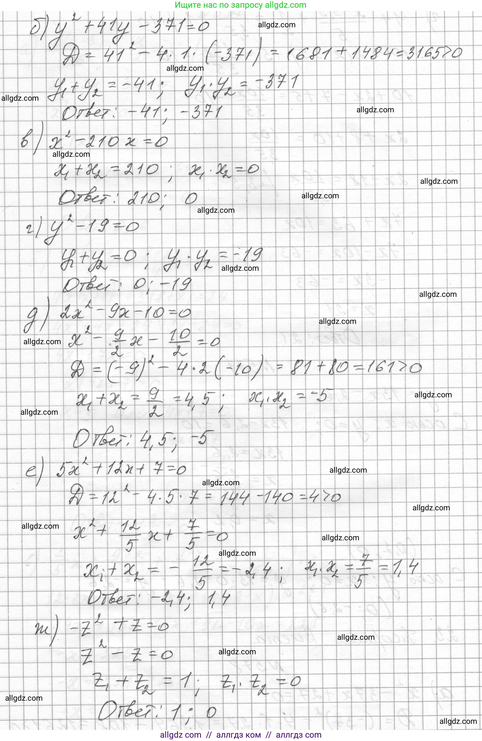
Решение. №578 (с. 135)
Алгебра, 8 класс Учебник, авторы: Макарычев Юрий Николаевич, Миндюк Нора Григорьевна, Нешков Константин Иванович, Суворова Светлана Борисовна, издательство Просвещение, Москва, 2023, белого цвета, страница 135, номер 578, Решение Алгебра, 8 класс Учебник, авторы: Макарычев Юрий Николаевич, Миндюк Нора Григорьевна, Нешков Константин Иванович, Суворова Светлана Борисовна, издательство Просвещение, Москва, 2023, белого цвета, страница 135, номер 578, Решение (продолжение 2)

Присоединяйтесь к Телеграм-группе @/gdz_by_belarus

Присоединиться

Мы подготовили для вас ответ c подробным объяснением домашего задания по алгебре за 8 класс, для упражнения номер 578 расположенного на странице 135 к учебнику 2023 года издания для учащихся школ и гимназий.

Теперь на нашем сайте ГДЗ.ТОП вы всегда легко и бесплатно найдёте условие с правильным ответом на вопрос «Как решить ДЗ» и «Как сделать» задание по алгебре к упражнению №578 (с. 135), авторов: Макарычев (Юрий Николаевич), Миндюк (Нора Григорьевна), Нешков (Константин Иванович), Суворова (Светлана Борисовна), ФГОС (новый, красный) базовый уровень обучения учебного пособия издательства Просвещение.