Номер 1, страница 98 - гдз по химии 8 класс учебник Габриелян

Химия, 8 класс Учебник, автор: Габриелян Олег Саргисович, издательство Просвещение, Москва, 2021, белого цвета

Авторы: Габриелян О. С.

Тип: Учебник

Издательство: Просвещение

Год издания: 2021 - 2026

Цвет обложки: белый

ISBN: 978-5-09-105083-7

Глава 2. Простые вещества. Параграф 17. Молярный объём газов. Вопросы - номер 1, страница 98.

№1 (с. 98)
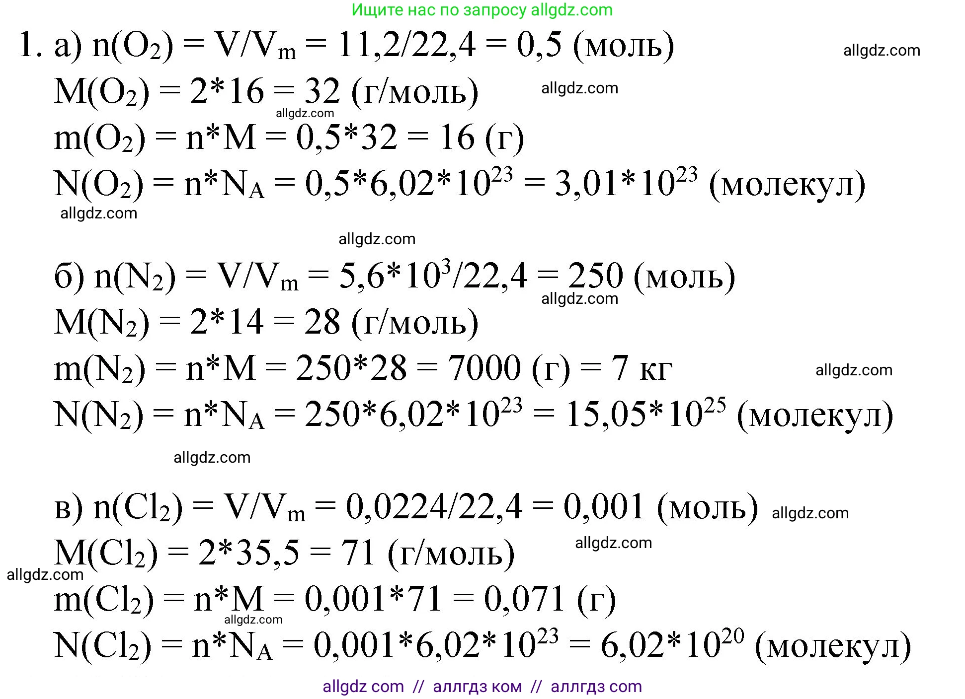
Условие. №1 (с. 98)
Химия, 8 класс Учебник, автор: Габриелян Олег Саргисович, издательство Просвещение, Москва, 2021, белого цвета, страница 98, номер 1, Условие
Решение. №1 (с. 98)
Химия, 8 класс Учебник, автор: Габриелян Олег Саргисович, издательство Просвещение, Москва, 2021, белого цвета, страница 98, номер 1, Решение

Присоединяйтесь к Телеграм-группе @/gdz_by_belarus

Присоединиться

Мы подготовили для вас ответ c подробным объяснением домашего задания по химии за 8 класс, для упражнения номер 1 расположенного на странице 98 к учебнику 2021 года издания для учащихся школ и гимназий.

Теперь на нашем сайте ГДЗ.ТОП вы всегда легко и бесплатно найдёте условие с правильным ответом на вопрос «Как решить ДЗ» и «Как сделать» задание по химии к упражнению №1 (с. 98), автора: Габриелян (Олег Саргисович), ФГОС (старый) учебного пособия издательства Просвещение.