Номер 20, страница 237 - гдз по геометрии 10-11 класс учебник Атанасян, Бутузов

Геометрия, 10-11 класс Учебник, авторы: Атанасян Левон Сергеевич, Бутузов Валентин Фёдорович, Кадомцев Сергей Борисович, Позняк Эдуард Генрихович, Киселёва Людмила Сергеевна, издательство Просвещение, Москва, 2019, коричневого цвета

Авторы: Атанасян Л. С., Бутузов В. Ф., Кадомцев С. Б., Позняк Э. Г., Киселёва Л. С.

Тип: Учебник

Издательство: Просвещение

Год издания: 2019 - 2026

Уровень обучения: базовый и углублённый

Цвет обложки: коричневый с ромбами

ISBN: 978-5-09-103606-0 (2023)

Допущено Министерством просвещения Российской Федерации

Математика: алгебра и начала математического анализа, геометрия

Задачи для подготовки к ЕГЭ. 16 - номер 20, страница 237.

№20 (с. 237)
Условие. №20 (с. 237)
Геометрия, 10-11 класс Учебник, авторы: Атанасян Левон Сергеевич, Бутузов Валентин Фёдорович, Кадомцев Сергей Борисович, Позняк Эдуард Генрихович, Киселёва Людмила Сергеевна, издательство Просвещение, Москва, 2019, коричневого цвета, страница 237, номер 20, Условие
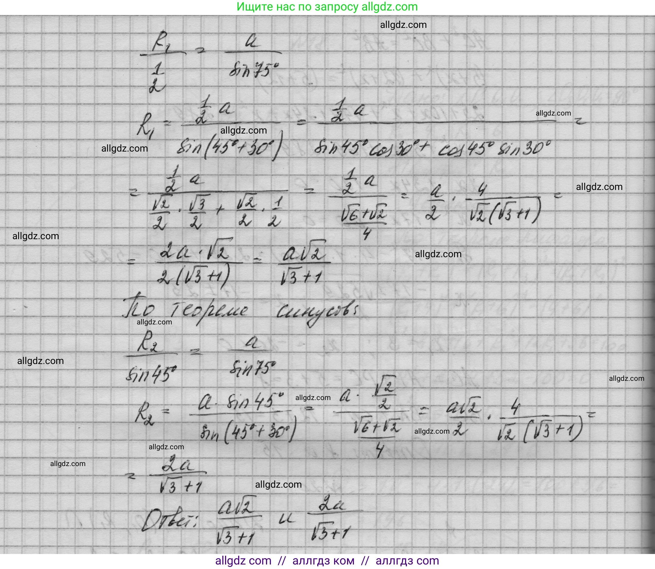
Решение 1. №20 (с. 237)
Геометрия, 10-11 класс Учебник, авторы: Атанасян Левон Сергеевич, Бутузов Валентин Фёдорович, Кадомцев Сергей Борисович, Позняк Эдуард Генрихович, Киселёва Людмила Сергеевна, издательство Просвещение, Москва, 2019, коричневого цвета, страница 237, номер 20, Решение 1 Геометрия, 10-11 класс Учебник, авторы: Атанасян Левон Сергеевич, Бутузов Валентин Фёдорович, Кадомцев Сергей Борисович, Позняк Эдуард Генрихович, Киселёва Людмила Сергеевна, издательство Просвещение, Москва, 2019, коричневого цвета, страница 237, номер 20, Решение 1 (продолжение 2)

Присоединяйтесь к Телеграм-группе @/gdz_by_belarus

Присоединиться

Мы подготовили для вас ответ c подробным объяснением домашего задания по геометрии за 10-11 класс, для упражнения номер 20 расположенного на странице 237 к учебнику 2019 года издания для учащихся школ и гимназий.

Теперь на нашем сайте ГДЗ.ТОП вы всегда легко и бесплатно найдёте условие с правильным ответом на вопрос «Как решить ДЗ» и «Как сделать» задание по геометрии к упражнению №20 (с. 237), авторов: Атанасян (Левон Сергеевич), Бутузов (Валентин Фёдорович), Кадомцев (Сергей Борисович), Позняк (Эдуард Генрихович), Киселёва (Людмила Сергеевна), ФГОС (старый) базовый и углублённый уровень обучения учебного пособия издательства Просвещение.