Номер 1043, страница 204 - гдз по алгебре 7 класс учебник Макарычев, Миндюк

Алгебра, 7 класс Учебник, авторы: Макарычев Юрий Николаевич, Миндюк Нора Григорьевна, Нешков Константин Иванович, Суворова Светлана Борисовна, издательство Просвещение, Москва, 2023, белого цвета

Авторы: Макарычев Ю. Н., Миндюк Н. Г., Нешков К. И., Суворова С. Б.

Тип: Учебник

Издательство: Просвещение

Год издания: 2023 - 2026

Уровень обучения: базовый

Цвет обложки: белый, оранжевый, фиолетовый

ISBN: 978-5-09-102535-4, 978-5-09-110804-0

Допущено Министерством просвещения Российской Федерации

Глава 6. Системы линейных уравнений. Параграф 14. Линейные уравнения с двумя перемнными и их системы. Линейное уравнение с двумя переменными - номер 1043, страница 204.

№1043 (с. 204)
Условие. №1043 (с. 204)
Алгебра, 7 класс Учебник, авторы: Макарычев Юрий Николаевич, Миндюк Нора Григорьевна, Нешков Константин Иванович, Суворова Светлана Борисовна, издательство Просвещение, Москва, 2023, белого цвета, страница 204, номер 1043, Условие
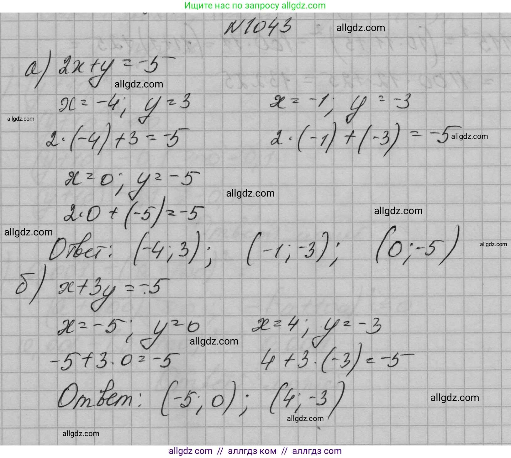
Решение 1. №1043 (с. 204)
Алгебра, 7 класс Учебник, авторы: Макарычев Юрий Николаевич, Миндюк Нора Григорьевна, Нешков Константин Иванович, Суворова Светлана Борисовна, издательство Просвещение, Москва, 2023, белого цвета, страница 204, номер 1043, Решение 1

Присоединяйтесь к Телеграм-группе @/gdz_by_belarus

Присоединиться

Мы подготовили для вас ответ c подробным объяснением домашего задания по алгебре за 7 класс, для упражнения номер 1043 расположенного на странице 204 к учебнику 2023 года издания для учащихся школ и гимназий.

Теперь на нашем сайте ГДЗ.ТОП вы всегда легко и бесплатно найдёте условие с правильным ответом на вопрос «Как решить ДЗ» и «Как сделать» задание по алгебре к упражнению №1043 (с. 204), авторов: Макарычев (Юрий Николаевич), Миндюк (Нора Григорьевна), Нешков (Константин Иванович), Суворова (Светлана Борисовна), ФГОС (новый, красный) базовый уровень обучения учебного пособия издательства Просвещение.