Номер 104, страница 36 - гдз по алгебре 9 класс учебник Макарычев, Миндюк

Алгебра, 9 класс Учебник, авторы: Макарычев Юрий Николаевич, Миндюк Нора Григорьевна, Нешков Константин Иванович, Суворова Светлана Борисовна, издательство Просвещение, Москва, 2023, белого цвета

Авторы: Макарычев Ю. Н., Миндюк Н. Г., Нешков К. И., Суворова С. Б.

Тип: Учебник

Издательство: Просвещение

Год издания: 2023 - 2026

Уровень обучения: базовый

Цвет обложки: белый, зелёный, фиолетовый

ISBN: 978-5-09-112135-3

Допущено Министерством просвещения Российской Федерации

Глава 2. Функции и графики. Параграф 3. Функции и их свойства. 7. Свойства чётности и нечётности функций - номер 104, страница 36.

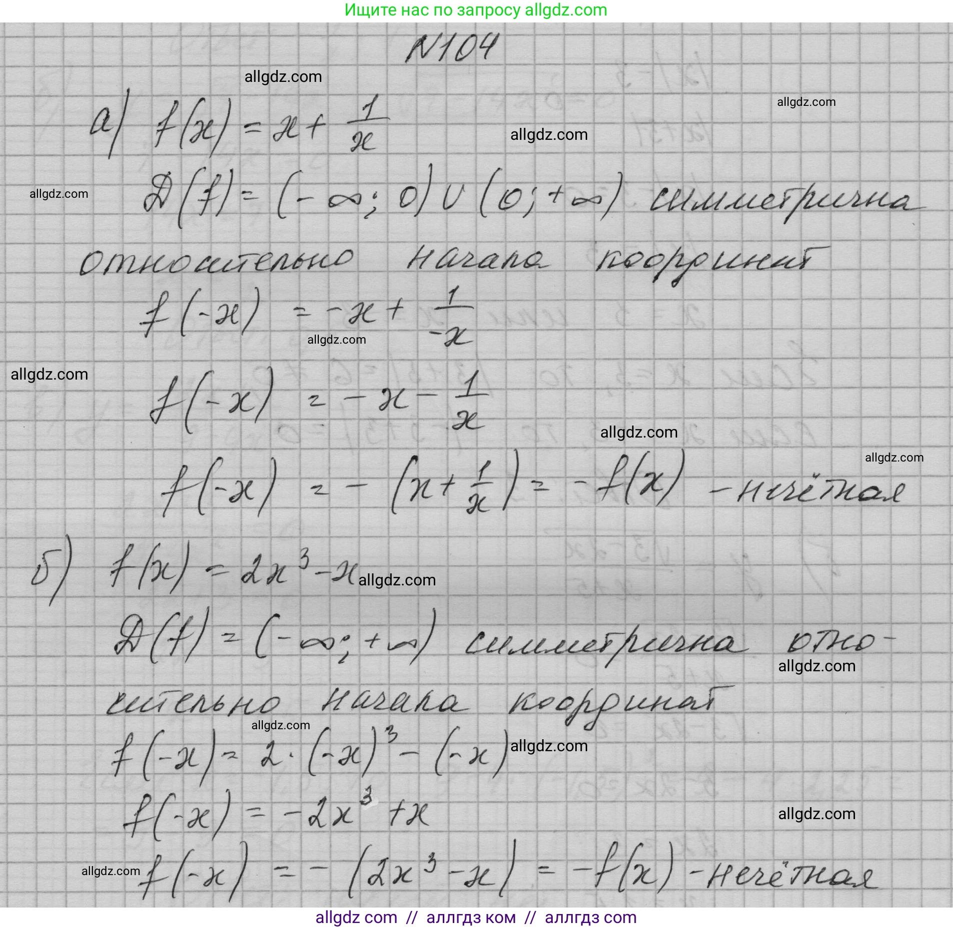
№104 (с. 36)
Условие. №104 (с. 36)
Алгебра, 9 класс Учебник, авторы: Макарычев Юрий Николаевич, Миндюк Нора Григорьевна, Нешков Константин Иванович, Суворова Светлана Борисовна, издательство Просвещение, Москва, 2023, белого цвета, страница 36, номер 104, Условие
Решение 1. №104 (с. 36)
Алгебра, 9 класс Учебник, авторы: Макарычев Юрий Николаевич, Миндюк Нора Григорьевна, Нешков Константин Иванович, Суворова Светлана Борисовна, издательство Просвещение, Москва, 2023, белого цвета, страница 36, номер 104, Решение 1

Присоединяйтесь к Телеграм-группе @/gdz_by_belarus

Присоединиться

Мы подготовили для вас ответ c подробным объяснением домашего задания по алгебре за 9 класс, для упражнения номер 104 расположенного на странице 36 к учебнику 2023 года издания для учащихся школ и гимназий.

Теперь на нашем сайте ГДЗ.ТОП вы всегда легко и бесплатно найдёте условие с правильным ответом на вопрос «Как решить ДЗ» и «Как сделать» задание по алгебре к упражнению №104 (с. 36), авторов: Макарычев (Юрий Николаевич), Миндюк (Нора Григорьевна), Нешков (Константин Иванович), Суворова (Светлана Борисовна), ФГОС (новый, красный) базовый уровень обучения учебного пособия издательства Просвещение.